产品与解决方案
BDFM15系列无刷双馈变频调速系统
- 详细描述
- 原理及特性
- 型号定义及选型说明
一、概述
本系统可广泛应用于冶金、石油、化工、纺织、电力、建材、煤炭、医药、食品、造纸、塑料、印染、起重、线缆、洗涤、供水、暖通、污水处理等行业中的拉丝机、搅拌机、挤出机、卷绕机械、压缩机、风机泵类、研磨机、传送带、提升机、离心机等设备。
二、无刷双馈电动机变频调速系统优势分析
1、系统成本低:无刷双馈电动机变频调速系统采用小功率变频控制装置控制大功率电机,采用低压变频控制装置控制高压电机,故与传统变频调速相比,可以大幅降低变频控制装置的成本。可降低50%的设备投资。
2、效率高:无刷双馈电机工频绕组直接接电网,只有部分功率通过变频控制装置,故其效率与传统异步电机高压变频调速系统相比,效率要高3.8%。
3、可靠性高:(1)无刷双馈电机取消了电刷和滑环,增加了可靠性;(2)高压变频器可靠性目前还远远低于低压变频器,而无刷双馈变频调速系统,可以通过低压变频器控制高压电机,可靠性大大提高;(3)普通的变频调速系统,一旦变频器发生故障,电机就会停止运行,而无刷双馈变频调速系统,在变频调速装置故障时,仍然可以自动切换到自然同步速下运行,在一定程度上保证了运行需要,可靠性大大提高。
4、占地面积小:设备体积只有传统设备体积的五分之一,可节省安装场地的投资。
5、维护方便:变频控制器为低压设备,不需要专业的高压操作维护人员,可降低使用和维护成本。
三、节能简单估算
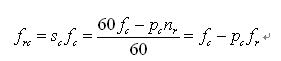
1、工频运行的耗电功率:
I—实际运行电流;
—根据实际运行情况进行估算2、变频运行的耗电功率:
(1)风机变频运行:功率(KW)=流量( m³/s)X 压力(
)(2)水泵变频运行:
功率(KW)=流量(m³/s ) 扬程(m) 密度( ) 重力加速度(9.8N/kg)/效率
3、节电功率:

4、节电率:

5、年节约电费:

H—年运行天数;A—电费 元/kwh
估算原则:
(1)能读不算,对于工频运行工况大多数有功率表或有功电度表计量,应以计量数据作为计算依据
(2)能测不估,对于阀门后压力有测量孔的最好不要通过工况压力+管阻压力估算
-
无刷双馈电动机变频调速系统基本原理
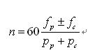
无刷双馈电动机是近年来发展起来的一种由两套不同极对数的定子绕组和一套绕线转子绕组构成的新型交流感应电动机。经过特殊设计的绕线转子使得两套定子绕组产生不同极对数的旋转磁场间接相互作用,并能对其相互作用进行控制来实现能量传递。其中一套定子绕组接固定工频电源,称为工频绕组,另一套定子绕组接变频驱动控制器,称为变频绕组。
工频绕组的极对数为
,直接连接电网,频率为
;变频绕组的极对数为
,由变频器电源供电,频率为
。电机定子工频绕组通入工频电源,频率 ,在电机气隙中产生的磁场同步转速:

当电机定子变频绕组接入变频电源时,频率
,转子绕组感应的电流频率为:
稳态运行时电机转速与定转子极对数和频率的关系为:
式中,
前取正号表示变频绕组与工频绕组的电源相序相同,
前取负号表示两个绕组外加电源相序相反。此式表示,可使转速随着 改变达到调速的目的。
-
示例:BDFM15-6-380/300,表示设计序号15、适用电动机工频绕组电压6KV、变频绕组电压380V、电动机轴上输出机械功率为300KW。
分享
版权所有: 大禹电气科技股份有限公司 京ICP证000000号 电话:0712-2883450 地址:湖北孝感市航天大道2号